5.1  Funciones cuadráticas

 

5.1.1  Objetivos

 

Verificar los conocimientos adquiridos en capítulos anteriores mediante el desarrollo de problemas.

Identificar y resolver ecuaciones de segundo grado mediante los procedimientos vistos anteriormente y los desarrollados en la presente unidad.

Analizar el concepto de las ecuaciones teniendo en cuenta el valor del discriminante.

Determinar la relación que hay entre la suma y el producto de las raíces de una ecuación cuadrática y los valores de los coeficientes y el término independiente.

Aplicar los procedimientos de desarrollo de ecuaciones cuadráticas  a la solución de problemas.

 

5.2  Función  cuadrática

 

5.3  Funciones cuadráticas incompletas

 

5.3.1  Función cuadrática de la forma  f(x) =ax2

Ubicando los puntos en un plano cartesiano y trazando las gráficas respectivas se tiene:

De las anteriores gráficas se concluye  que cuando  a  adquiere valores diferentes de cero, la gráfica será siempre una parábola simétrica respecto del eje  y, la gráfica tendrá un vértice común (0, 0) que coincide con el origen del plano cartesiano y el coeficiente a   da la abertura de la curva hacia arriba,  sí       a > 0.

 

5.3.2 Función cuadrática de la forma  f(x) =ax2 + c

Realizando un proceso similar al anterior, resolvamos gráficamente las ecuaciones:

Realizando las gráficas correspondientes tenemos:

Las gráficas resultantes son parábolas simétricas respecto del eje y, la abertura de la parábola está determinada por el coeficiente de x2 .

Particularmente el vértice de la parábola es un punto de coordenadas (0, k), y si el coeficiente de  x  es positivo la parábola abre hacia arriba.

 

5.3.3  Función cuadrática de la forma  (x) = ax2 + bx

Sean las ecuaciones:

Realizamos las gráficas:

En estas gráficas se puede observar que el eje de simetría de las gráficas es paralelo al eje y. La abertura de la parábola la determina el coeficiente de x2, y si el coeficiente de x2 es positivo la curva de la parábola abre hacia arriba. el punto del vértice (0, 0) satisface esta clase de ecuaciones.

 

5.4  Ecuación cuadrática

 

5.4.1  Raíces de una ecuación cuadrática

Resolver una ecuación cuadrática es encontrar los valores que puede  tomar la variable para satisfacer la igualdad inicial o dada. Estos valores encontrados son los que llamamos raíces de la ecuación cuadrática, y se llaman raíces porque  como es una ecuación cuadrática (segundo grado) el mayor exponente de la variable es 2, que significa que toma dos valores y de lo que se concluye que la ecuación tiene dos raíces.

 

5.5  Métodos de resolver ecuaciones cuadráticas              

5.5.1  Por factorización

Es la aplicación de los casos VI  y VII  de descomposición factorial vistos en  el curso anterior, recordémoslos mediante ejemplos.

Ejemplos:

Resolver la ecuación

2.

 

5.5.2   Fórmula general

La fórmula general de una ecuación de segundo grado es:

 

5.6   Otras formas de resolver ecuaciones cuadráticas

 

5.6.1   Completación de cuadrados

Ejemplos:  Hallemos las raíces de,   x2 + 4x + 2  = 0

En productos notables vimos que   (x + b)2 =  x2 + 2bx + b2

Observemos que:

 

5.6.3   Solución gráfica de la ecuación de segundo grado

Una ecuación cuadrática se puede representar gráficamente en un plano cartesiano y encontrar el valor de sus raíces, interpretando los puntos de corte de la gráfica. Veamos:

 

Como en los casos vistos anteriormente se le dan valores arbitrarios a  x  para encontrar los valores de la otra variable (x), y realizar la gráfica correspondiente.

Luego entonces:

Realizamos la gráfica de la ecuación:

Al analizar  la gráfica se observa que la parábola no corta al eje  x en ningún punto, lo que indica que las raíces de la ecuación no tienen solución en los números reales.

Se grafica los puntos encontrados y se traza la parábola correspondiente:

Se observa que la gráfica corta el eje  x  en dos puntos, es decir en los puntos:     (-2, 0)  y  (1, 0) entonces se dice que  –2  y  1   son dos ceros o raíces de la ecuación. Luego las soluciones de la ecuación serán  x1=-2   y  x2=1.

 

5.7   Ecuaciones literales de segundo grado            

Lo particular de las ecuaciones literales es que las raíces solución de la ecuación van a ser letras, es decir el valor de las incógnitas van a estar en función de letras, y para resolverlas se puede utilizar  la fórmula general o la descomposición de factores, siendo estos los dos métodos más ágiles para aplicar en el desarrollo de estas ecuaciones.

Ejemplo:

Resolver las ecuaciones

 

5.8   Ecuaciones de segundo grado incompletas

 

Las ecuaciones incompletas de segundo grado son aquellas  que carecen del término en  x o del término independiente.

 

5.8.1   Ecuaciones incompletas de la forma   ax2 + c = 0

Si en la ecuación    ax2 + c = 0,  se pasa  el término c al segundo miembro de la ecuación se tiene    ax2 =- c  y despejando la incógnita  x:

Si  los números  a  y  c tienen signos iguales, la raíces no tienen solución en los números reales, sino que serán imaginarias por ser la raíz cuadrada de una cantidad  negativa; Si por el contrario tienen signos diferentes las raíces solución serán reales.

 

Ejemplo:

 

 

5.8.2   Ecuaciones incompletas de la forma   ax2 + bx = 0

Resolviendo la ecuación    ax2 + bx = 0

Factorizando  x (ax + b) =0

Igualando a cero los dos términos:  

De lo que se concluye que en este tipo de ecuaciones las raíces vienen dadas por los valores:

Ejemplo:

 

5.8.3   Ecuaciones con radicales que se reducen a segundo grado

Las ecuaciones de este tipo se resuelven por el mismo método utilizado en capítulos anteriores, eliminando los radicales mediante la elevación de los miembros a la potencia que indique el exponente del radical.

Elevando de nuevo al cuadrado:

Igualando a cero cada uno de los téminos:

Ahora haciendo la verificación de las dos raíces halladas en la ecuación original, se tiene:

El valor de x=61 no satisfacen la ecuación.

Luego el valor de x=1, satisface la ecuación inicial siendo este el valor correcto.

 

5.9    Problemas que se resuelven por ecuaciones de segundo grado.

 

Ejemplo:

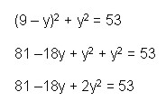
1. La suma de dos números es 9 y la suma de sus cuadrados 53. Hallar los números.

Con el enunciado del problema armamos las ecuaciones:

De la ecuación (1)  se tiene:  x = 9 – y. Este valor lo reemplazo en (2)

Ordenando y suprimiendo cantidades semejantes:

El valor de y2 corresponderá a  x. Luego los números buscados serán:

       x = 2,    y = 7

2. La  longitud de un terreno rectangular es el triple que el ancho. Si la longitud se aumenta en 50 m y el ancho en 10 m, el área se hace el triple. Hallar las dimensiones del terreno.

    Sí  x = el ancho del terreno

        3x = la longitud del terreno

      Entonces el área del terreno es: (x) (3x) = 3x2

    Si la longitud se aumenta en 50 m, ésta sería (3x + 50) y si el ancho se aumenta en 10 m, éste sería (x + 10). El área ahora sería  (3x + 50) (x + 10) y resolviendo se tiene: 3x2 + 80x + 500. Pero según el enunciado el problema esta nueva área se hace el triple que la anterior 3x2; luego se tendrá la ecuación:

    3x2 + 80x + 500 = 9x2

    por transposición y reducción de términos semejantes:

    3x2 - 9x+ 80x + 500 = 0

    -6x + 80x + 500 = 0         simplificando y multiplicando por –1:

    3x - 40x - 250 = 0            multiplicando toda la ecuación por 3:

    9x - 120x - 750 = 0          que también se puede escribir:

    9x- 5(24x) - 750 = 0        Factorizando:

    (3x – 30) (3x + 25) = 0      dividiendo los dos factores entre  3 y 1:

    (x – 10) (3x + 25) = 0

igualando cada uno de los factores a cero:

Tomando la solución   x = 10, que corresponde al ancho del terreno el largo será 3x, es decir  30 m

Luego las dimensiones del terreno rectangular serán:

x = 10 m  ancho.            3x = 30 m largo.

3. Un avión vuela 1300 Km contra el viento y luego regresa en un total de 20 horas. Encontrar la velocidad del avión en el aire en un estado tranquilo, si la velocidad del viento es 30 km./h.

    Considerando  x  =  velocidad del avión en aire tranquilo.

                       x + 30 = velocidad a favor del viento.

                             x – 30 = velocidad en contra de viento.

Se sabe que:

 

5.10   Teoría de las ecuaciones de segundo grado

 

5.10.1   Propiedades de las raíces de la ecuación de segundo grado

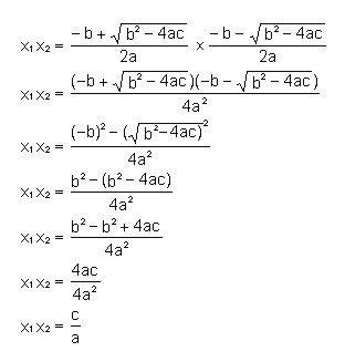
Como se ha visto la fórmula  general de la ecuación de segundo grado viene dada por:

Multiplicando las raíces entre sí:

De los anteriores procedimientos se puede concluir que:

En toda ecuación de segundo grado de la forma  x2 + mx + n = 0   en donde el coeficiente del primer término es 1, la suma de las raíces es igual al coeficiente del segundo término con el signo cambiado y el producto de las raíces es igual al tercer término con su propio signo.

 

5.10.2   Aplicación                                                            

Ejemplo

1. Determinar si  2  y  –3  son las  raíces de  x2 +  x – 6 = 0

Si  2 y -3  son las raíces de ésta ecuación, su suma tiene que ser igual al coeficiente del segundo término 1  con el signo contrario, -1 y su producto tiene que ser el tercer término –6 con su propio signo. Entonces analicemos si  se cumplen estas condiciones:

Suma:  2 + (-3) = 2 – 3 = -1  coeficiente de x con el signo contrario.

Producto: 2 x –3 = -6 tercer término con el mismo signo.

Entonces se tiene  que  2  y  -3  son las raíces de la ecuación x2 + x – 6 = 0.

 

2. Las  raíces de una ecuación de segundo grado son  3  y  4  determinar la ecuación.

Se hallan la suma y el producto de las raíces.

Suma:  3 + 4 = 7

Producto:  3  x 4 = 12  

Se sabe que en toda ecuación de segundo grado de la forma  x2 + mx + n = 0  la suma de las raíces es igual al coeficiente del segundo término con el signo cambiado y el producto de las raíces es igual al tercer término con su propio signo.

Aquí  la suma de las raíces es 7, luego entonces el segundo término  de la ecuación será  -7; el producto es 12, luego 12 será el tercer término de la ecuación.

Entonces la ecuación será:     x2 - 7x + 12 = 0

 

3. La suma de dos números es 11 y su producto 30. Hallar los números.

Los números serán  las raíces de una ecuación de segundo grado de la forma         

                               x2 + mx + n = 0

En la cual el coeficiente del segundo término es –11 (la suma con el signo contrario) y el tercer término es 30 (el producto con su propio signo) luego la ecuación es:  

                                             x 2 –11x + 30 = 0

Las raíces de esta ecuación serán los números buscados.

Resolviendo se tiene:

(x – 6) (x – 5) = 0

igualando  los factores a cero:

Luego los números buscados son 6  y  5.

 

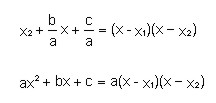
5.11   Descomposición en factores del trinomio de segundo grado

 

Un trinomio de segundo grado de la forma  ax2 + bx + c  se puede escribir  también:

Desarrollando la ecuación de segundo grado se tiene que

Se han buscado dos nùmeros que sumados den X1 + X2 y multiplicados X1X2 luego entonces se tiene  que:

Donde X1 y X2 son las raices de la ecuación

 

5.11.1   Aplicación

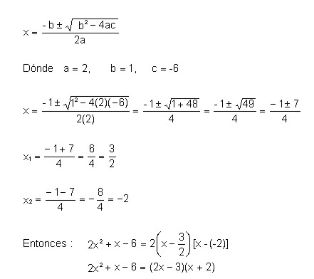
    2. Descomponer en factores, hallando las raíces de   2x2 + x – 6.

    Utilizando la formula general: