4.1  Cantidades imaginarias y complejas

 

4.1.1   Objetivos

Reconocer  que el grupo de las cantidades imaginarias es aplicable a la solución de ecuaciones de la forma x2 + a = 0.

Efectuar correctamente operaciones y gráficas con cantidades imaginarias y complejas.

 

4.1.2   Conceptos generales

El resultado de la incógnita indica  que debe ser un número que elevado al cuadrado de negativo, valor que en los números reales no existe. Este valor no existe porque se ha visto que para un índice par en la radicación el radicando no puede ser una cantidad negativa real.

Este tipo de expresiones genera un nuevo conjunto de números que son los llamados números imaginarios.

 

4.1.3   Potencias de la unidad imaginaria

 

4.1.4   Simplificación de las imaginarias puras

 

4.1.5   Operaciones  con cantidades imaginarias puras

 

4.1.5.1   Suma y resta

Ejemplos:

Simplificar

Generalmente se encuentran cantidades de la forma   i75 , y para hallar su valor  se efectúa el siguiente procedimiento:

 

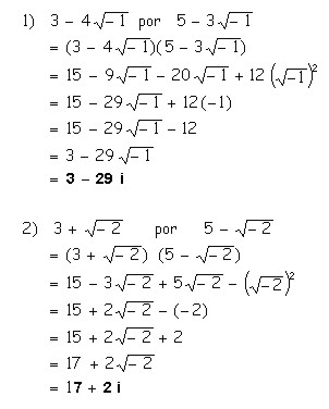
4.1.5.2   Multiplicación

Ejemplos:

Multiplicar:

 

4.1.5.3   División

Ejemplos:

Dividir:

 

4.1.6   Cantidades complejas

Las cantidades complejas nacen de la necesidad de ampliar los números imaginarios, y son cantidades que constan de un par de números dados en un orden, en el cual uno es real y el otro puede ser imaginario.

 

4.1.6.1   Cantidades complejas conjugadas

 

4.1.6.2   Suma y resta de cantidades complejas conjugadas

Para sumar o restar cantidades complejas conjugadas se suman o restan las partes reales entre sí y las partes imaginarias entre sí.

Ejemplos:  

Sumar

Restar:

La diferencia de dos cantidades complejas conjugadas da como resultado una cantidad imaginaria pura.

 

4.1.6.3   Multiplicación de cantidades complejas conjugadas

El producto de dos cantidades complejas conjugadas es igual a una cantidad real.

Ejemplos:

Multiplicar

 

4.1.6.4   División de cantidades complejas conjugadas

Para dividir dos cantidades complejas conjugadas, se escriben en forma de fracción y se racionaliza el denominador de esta fracción, la racionalización se desarrolla multiplicando  tanto el numerador como el denominador por la conjugada del denominador.

Ejemplo:

Dividir