 |
 |
 |
 |
 |
|
 |
 |
 |
 |
 |
 |
 |
 |
 |
 |
 |
 |
 |
 |
|
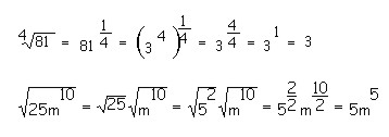
3.1.7.3
Reducción de radicales al mínimo común índice.
Para reducir varios radicales a un mismo común índice, se halla primero el m.c.m. de los índices de las raíces y cada radicando se eleva al exponente que resulta de dividir el
índice común entre el índice de cada radical. Ejemplo:
|
|
|
|
 |
|
|
|
3.1.7.4
Multiplicación de radicales: para multiplicar dos
o más radicales se multiplican los coeficientes y los radicandos entre
sí, escribiendo este último producto bajo el signo radical común
para luego simplificar el resultado.
Ejemplo.Multiplicar: |
|
|
|
 |
|
|
|
 |
|
|
|
3.1.7.5
Multiplicación de radicales compuestos
Para multiplicar dos
radicales compuestos o uno compuesto y el otro simple, se multiplica
de igual manera que se hace al multiplicar polinomios por monomios o polinomios
entre sí.
Ejemplo:Multiplicar: |
|
|
|
 |
|
|
|
Multiplicar: |
|
|
|
 |
|
|
|
 |
|
|
|
|
|
3.1.7.6
División de radicales: para dividir dos o más
radicales se dividen los coeficientes y los radicandos entre sí, escribiendo
este último cociente bajo el signo radical común para luego simplificar
el resultado.
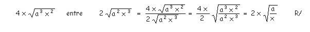
Ejemplo.Dividir: |
|
|
|
 |
|
|
|
3.1.8
Racionalización
Racionalizar una fracción algebraica es convertir la fracción de denominador irracional en otra fracción de denominador racional.Al racionalizar una fracción de denominador irracional, desaparece todo signo
radical del denominador. En la racionalización se presentan dos casos:
3.1.8.1 Cuando el denominador es monomio Se multiplican tanto el numerador como el denominador por el radical de la
expresión, para que el denominador se convierta en una cantidad racional.Ejemplos: |
|
|
|
 |
|
|
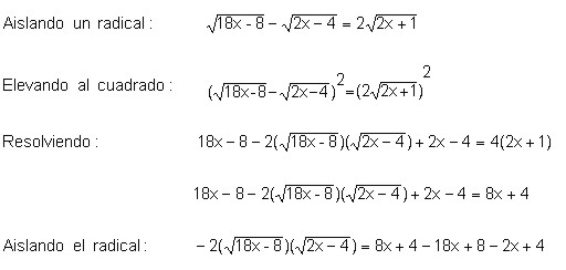
3.1.8.2 Cuando el denominador es un binomio Se
multiplican tanto el numerador como el denominador por la conjugada del denominador y luego se simplifica el resultado.
3.1.8.3 Expresiones conjugadas: Son las expresiones que contienen radicales de segundo grado y que difieren unas de otras solamente en el signo que las
separan, es decir: |
|
|
|
 |
|
|
|
Ejemplos:
- Racionalizar el denominador de:
|
|
|
|
 |
|