7.1   Relaciones y funciones

 

7.1.1  Objetivo: Determinar el producto de dos conjuntos en el plano cartesiano y cuando se presente una relación entre estos dos conjuntos, identificar y explicar  cuando la relación es reflexiva, transitiva o simétrica.

 

7.1.2  Relaciones:  Se define una relación como un subconjunto de un producto cartesiano.

A  conjunto de partida

B  conjunto de llegada.

Ejemplo:

Sean los conjuntos     A = (2, 4, 6)           B = (1, 2, 3)

A x B = {(2, 1), (2, 2), (2, 3), (4, 1), (4, 2), (4,3), (6, 1), (6, 2), (6, 3)}

Un subconjunto  S que satisfaga  x > y  será:

S =  {(2, 1), (4, 1), (4, 2), (4,3), (6, 1), (6, 2), (6, 3)}

 

7.1.2.1  Relación inversa:

Sean los conjuntos:     A = (1, 2, 3, 4)           B = (1, 2)

Definamos la relación, x es divisor de y.

Luego entonces:    R = {(1, 1), (1, 2), (2, 2)}.

Gráficamente:

Encontremos ahora  la relación S  de B en A dada  por  "y es múltiplo de x"

S = {(1, 1), (2, 1), (2, 2)}

Gráficamente:

Se concluye que sí  R es una relación de A  en  B  la relación de  B  en  A:

 

7.1.2.2  Relación reflexiva:  Sea  el conjunto    A = {1, 2, 3} relacionemos A  en A y escribamos las parejas ordenadas:

R = {(1, 1), (2, 2), (3, 3)}

Cada uno de los elementos de  A  está  relacionado consigo mismo, es decir, cada pareja ordenada pertenece a la relación. Relaciones  con estas características reciben el nombre de reflexivas.

Simbólicamente se puede expresar cómo:

Diagrama sagital: 

 

7.1.2.3  Relación simétrica: Sea la relación  R = {(3, 4), (5, 6), (6, 5), (4, 3)} cada pareja ordenada de la relación tiene su recíproco, es decir para  (3, 4) existe (4, 3), que también pertenece a R. Cuando en una relación de x con y se deduce la relación y con x, se puede decir que la relación es simétrica, o sea:

Gráficamente:

 

Gráficamente:

 

7.1.2.5  Relación equivalente: Si una relación es al mismo tiempo reflexiva, simétrica y transitiva se puede decir que es equivalente. Un ejemplo de relación equivalente puede ser la relación "es paralelo a"

Gráficamente:

Analizando la gráfica:

La recta  a se puede considerar paralela a sí misma, es decir cumple con la propiedad para ser relación reflexiva.

Por definición la recta  a  es paralela a la recta  b, y viceversa, luego la relación en este aspecto es simétrica.

También se deduce que si  la recta  a  es paralela a la recta  b y a es paralela  a otra recta  c, entonces b es paralela con la recta  c. Esta es la condición para que se cumpla la relación transitiva.

 

7.1.2.6  Actividad

    1. Analizar si la relación "Ser perpendicular a.." Es una relación de equivalencia.

     

    a) Realiza el conjunto de parejas ordenadas.

    b) Construye el diagrama correspondiente.

    c) Elabora el plano cartesiano.

    d) Hallar el dominio y el codominio de la relación.

        e)¿Qué tipo de relación es?

 

7.1.3  Funciones

Dos líneas se pueden cortar en forma perpendicular u oblicua. Cuando se cortan en forma perpendicular forman un eje de coordenadas rectangulares.

Este eje de coordenadas llamado plano cartesiano, sirve para graficar un conjunto de parejas ordenadas  generadas por un producto cartesiano.

Para realizar la gráfica de una función en un plano cartesiano se procede:

  • Se trazan los ejes de coordenadas x  y.
  • El dominio de la función se coloca sobre el eje de coordenadas  x.
  • El codominio de la función se coloca sobre el eje de coordenadas  y.
  • Las parejas ordenadas se representan por puntos.

Ejemplo:

Sean los conjuntos   A = {2, 4, 6}    B = {3, 5}

    a) Realizar el producto cartesiano.

    b) Definir el dominio de la función

    c) Definir el codominio de la función.

    d) Representar las parejas ordenadas en un plano cartesiano.

 

Desarrollo:

a) Producto cartesiano  A x B = {(2, 3), (2, 5), (4, 3), (4, 5), (6, 3), (6, 5)}

b) El dominio de la función es el mismo conjunto  A,   D = {2, 4, 6}

c) El codominio de la función es el mismo conjunto  B,   Cd = {3, 5}

d) Plano cartesiano:

Gráfica:

7.1.3.1  Función lineal   Y = f(x)

En una función lineal representada por la relación   Y = f(x), para cada valor que se le asigne a la variable  x, hay un valor de y. Los valores que se le asignen a  x  reciben el nombre de abscisas, y los valores que resulten de y los llamaremos ordenadas de la función.

Al realizar la gráfica de estos valores (puntos) nos resulta una línea recta o curva que será el gráfico de la función o ecuación   Y = f(x).

En una función   Y = f(x)  como a  x  le asignamos valores independientes para obtener valores de  y, la llamaremos variable independiente, y como  el valor de  y depende de los valores que se le asignen a  x, entonces a  y  la llamaremos variable dependiente.

Ejemplo:

    1. Representar gráficamente la función   y = 3x + 3

    dando valores a la variable  x, se obtienen valores correspondientes  de la variable y:

    para   x = 0          y = 3(0) + 3 =  0 + 3 = 3               y =  3

    para   x = 1          y = 3(1) + 3 =  3 + 3 = 6               y =  6

    para   x = 2          y = 3(2) + 3 =  6 + 3 = 9               y =  9

    para   x = 3          y = 3(3) + 3 =  9 + 3 = 12             y = 12

    para   x = -1        y = 3(-1) + 3 =  -3 + 3 = 0              y =  0

    para   x = - 2       y = 3(-2) + 3 =  -6 + 3 = -3             y =- 3

    para   x = - 3       y = 3(-3) + 3 =  -9 + 3 = -6             y =- 6

    Representando los valores   de la variable x como abscisas y los valores correspondientes de la variable  y como ordenadas, se obtiene una serie de puntos. La recta que  se forma de la unión de esos puntos es el gráfico de          y = 3x + 3.

     

Gráfica:

 

7.1.3.1.1  Actividad

trazar las líneas  que pasan por los puntos:

    1. (1, 2)  y (3, 4)

    2. (-3, -2)  y  (-1, -4)

    3. (-4, 3)  y  (0, 3)

    4. (-2, -4)  y  (-3, -6)

     

Representa gráficamente las funciones:

    1. y = 3x + 6

    2. y = -2x – 4

    3. y = 4x + 5

    4. y = 8 - 3x

    5. y = -3x

 

Representa las funciones lineales sabiendo que  es la variable dependiente:

    1. 2x = 3y

    2. 3y = 4x + 5

    3. 2x = y – 1

    4. 8x + 2y = 16

    5. 6x – y = 2

 

7.1.3.2  Pendiente de la línea recta

Ejemplo:

Sea la función  y = 4x – 2, hallemos su pendiente y el punto de corte.

Según la fórmula general   y = mx + b, se tiene que  m = 4   y  b = - 2

Por lo tanto la pendiente de la recta es  4 y corta el eje  y  en el punto –2.

 

Grafiquemos la recta para comprobar estos términos:

para   x = 0          y = 4(0) - 2 =  0 - 2 = -2              y = -2

para   x = 1          y = 4(1) - 2 =  4 - 2 =  2                y = 2

para   x = 2          y = 4(2) - 2 =  8 - 2 =  6                y = 6

para   x =-1          y = 4(-1) - 2 =  -4 - 2 = -6             y =-6

para   x =-2          y = 4(-2) - 2 =  -8 - 2 = -2             y =-10

La altura   BC =  8 unidades

El cateto   AB =  2 unidades

La pendiente viene dada por   m = cambio vertical/ cambio horizontal =  BC/AB

Luego entonces  m = 8/2 = 4    m = 4

Y observemos que la recta corta el eje y en el punto  –2.    b = -2

 

7.1.3.3   Función constante

Sí en la ecuación general    y = mx + b,  m = 0  entonces   y = b, y como el valor de b es una constante la función lineal toma el nombre de  función constante. Esto quiere decir que el valor de  y  siempre va a ser el mismo, mientras los valores de  x, serán todos los puntos que estén sobre la línea recta y paralelos al eje  x.

Gráficamente:

 

7.1.3.4   Función  cuadrática

Es una función cuyos valores están dados por la fórmula   y = ax2 + bx + c, dónde a, b  y  c  son números reales  y  a    0,  c  es el término independiente, reciben el nombre de  función cuadrática.

 

7.1.3.4.1   Representación gráfica

Ejemplo:     Sea la función cuadrática   y = x2 -3x + 1

Dándole valores a  x, para obtener valores de  y:

Para    x =-2              y = (-2)2 –3(-2) + 1    =  4 + 6 + 1  =  11       y = 11

Para    x =-1             y = (-1)2 –3(-1) + 1     =  -1 + 4 + 1  =  4       y =  4

Para    x = 0               y = (0)2 –3(0) + 1      =  0 - 0 + 1  =  1          y =  1

Para    x = 1             y = (1)2 –3(1) + 1      =  1 -  3 + 1  =  -1         y =-1

Para    x = 2                y = (2)2 –3(2) + 1     =  4 - 6 + 1  =  -1         y =-1

Para    x = 3               y = (3)2 –3(3) + 1     =  9 - 9 + 1  =  1           y = 1

Para    x = 4                y = (4)2 –3(4) + 1     =  16 - 12 + 1  =  5       y = 5

Ubicando los puntos en un plano cartesiano:

Ejemplo:     Sea la función cuadrática   y = 3x2 -2x - 3

Dándole valores a  x, para obtener valores de  y :

Para    x =-2             y = 3(-2)2 –2(-2) -3    = 12 + 4 - 3  =  13       y = 13

Para    x =-1              y = 3(-1)2 –2(-1) - 3    = -3 + 2 - 3  = -4         y =- 4

Para    x = 0              y = 3(0)2 –2(0) - 3      =  0 - 0 - 4  = -4          y =- 4

Para    x = 1             y = 3(1)2 –2(1) - 3     =  3 -  2 - 4  = -3           y =- 3

Para    x = 2               y = 3(2)2 –2(2) - 3     =  12 - 4 - 3  =  5        y =  5

Para    x = 3                y = 3(3)2 –2(3) - 3     = 27 - 6 - 3  = 18        y = 18

Ubicando los puntos en un plano cartesiano:

 

7.1.4   Ecuación cuadrática

7.1.4.1  Raíces de una ecuación cuadrática

Resolver una ecuación cuadrática es encontrar los valores que puede  tomar la variable para satisfacer la igualdad inicial o dada. Éstos valores encontrados son los que llamamos raíces de la ecuación cuadrática, y se llaman raíces porque  como es una ecuación cuadrática (segundo grado) el mayor exponente de la variable es 2, que significa que toma dos valores y de lo que se concluye que la ecuación tiene dos raíces.

Ejemplos:

Los valores que puede tomar la variable son  4 ó –2, lo que quiere decir que las raíces  solución de  la ecuación son  x = 4  ó  x = -2.

 

7.1.5   Otras formas de resolver ecuaciones cuadráticas

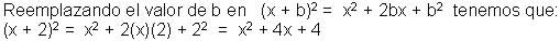
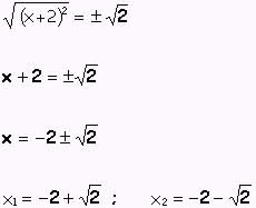
7.1.5.1  Completación de cuadrados

Ejemplo:       

 

7.1.5.2   Fórmula general

Como no se conoce el valor de a,b yc se multiplica todo el trinomio por 4a. para formar el cuadrado perfecto

La aplicación de la fórmula cuadrática la veremos mediante el siguiente ejemplo:

En la fórmula general  

el radicando  b2 – 4ac, recibe el nombre de Discriminante, por que en últimas es la expresión que determina las raíces de una función cuadrática.  Generalmente el discriminante se denota por  (delta).

Entonces    indica la cantidad y las clases de raíces que tiene una ecuación cuadrática.

Se presentan generalmente tres casos para el Discriminante