OPERACIONES Y RELACIONES

 

Objetivo de la unidad: Reconocer la radicación y la logaritmación como operaciones inversas de la potenciación, al igual que las propiedades  básicas  de  cada una de las operaciones..

 

POTENCIACIÓN

Es la transformación de la multiplicación de varios números iguales, en un solo número natural llamado potencia

 

POTENCIA DE UN  PRODUCTO

 

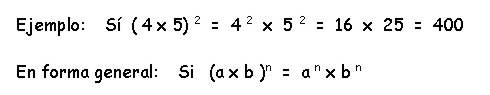
Para desarrollar un producto elevado a un exponente, elevamos cada uno de los factores al exponente dado y multiplicamos los resultados.

 

PROPIEDADES  DE LA POTENCIACIÓN

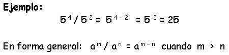
2. Para dividir dos bases iguales con diferente exponente, escribimos la misma base y restamos los exponentes.

3. Potencia de potencia: Si tenemos una base elevada a un exponente y ésta a su vez elevada a otro exponente, escribimos la misma base  elevada al producto de los exponentes.

 

RADICACIÓN

Es una de las operaciones inversas de la potenciación, porque mediante ésta podemos conocer la base, sí conocemos la potencia y el exponente:

 

PROPIEDADES DE LA RADICACIÓN

 

1. Una raíz de cualquier grado (exponente  n) del producto de varios números, es igual al producto de cada raíz del mismo grado de cada uno de los números.

 


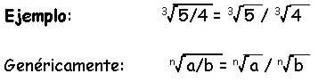
2. La raíz de cualquier grado de un fraccionario es igual a la raíz del mismo grado del numerador sobre la raíz del mismo grado del denominador.


3. La raíz de cualquier grado de una base  elevada a un exponente se obtiene escribiendo la base elevada a la división del exponente de la base entre el exponente (grado) del radical.


4. Raíz de raíz: La raíz de cualquier grado de una raíz la desarrollamos multiplicando los índices de las dos raíces.

 

LOGARITMACIÓN

Es la otra operación inversa de la potenciación. A través de esta operación podemos hallar el exponente si conocemos la base y la potencia.

 

PROPIEDADES DE LA LOGARITMACIÓN

1. El logaritmo de un producto es igual a la suma de los logaritmos de los factores.

2. El logaritmo de una división es igual a la diferencia (resta) del  logaritmo del numerador  menos el logaritmo del denominador.

RELACIÓN: POTENCIA, RADICAL Y LOGARITMO

 

CONCEPTOS DE IGUALDAD Y ECUACIÓN

IGUALDAD

Es la relación por intermedio del  operador igual (=), entre dos términos.

En forma general podemos afirmar que si a los miembros de una igualdad se les adiciona, resta, multiplica, divide, potencia o radica por un mismo número, la igualdad no se altera.

ECUACIÓN

 

Es una igualdad a la cual hay que encontrarle un término (incógnita) desconocido. Son ejemplos de ecuaciones:  x  +  9  =  32,      x2 + 6x + 3 = 0,     x – 2 = 6

 

Para resolver una ecuación de cualquier tipo, debemos tener en cuenta las siguientes consideraciones:

 

Aislamos la incógnita generalmente al lado izquierdo de la ecuación, y al lado derecho dejamos los  términos conocidos. Para lograr esto, a los términos que estén bien sea a la izquierda o a la derecha del signo igual les aplicamos las siguientes propiedades:

 

Si un término está sumando pasa al lado contrario a restar, si está restando pasa a sumar, si está multiplicando pasa a dividir y si está dividiendo pasa al otro lado del igual a multiplicar.

 

Los términos que se encuentren multiplicando o dividiendo a uno u otro lado del igual, al hacer la transposición de términos  conservan sus signos.

 

Ejemplos:  Resolver las ecuaciones

 

Ecuación dada ………x  +  3  =  32

 

Dejamos la incógnita al lado izquierdo y

Por transposición de términos el 3 que

Se encuentra sumando, pasa al otro lado

Del igual a restar…… x  =  32  -  3

 

Realizamos la operación indicada…. x   =  29

 

Comprobando el resultado encontrado para

La incógnita en la ecuación inicial…  29 +  3  =  32

                                                                32  =  32

Observemos que al comprobar el valor de

x  en la ecuación inicial nos da como resultado

una igualdad. Podemos concluir que el valor

encontrado es correcto. 

 

 

Ecuación dada………………       .. x + 3 / 10   =  3 / 5

 

Por transposición de términos……5 * ( x + 3)  =  3  *  10

 

Desarrollamos las operaciones indicadas…5 x  +  15  =  30

 

 

Despejando la incógnita y por transposición

De términos…………  5 x  =  30 – 15

                                          x  = (30 – 15) / 5

 

Resolviendo las operaciones indicadas…… x  =  15 / 5

 

Luego la ecuación queda resuelta para …     x  =  3