UNIDAD 3
3.1 La derivada
3.1.1 Objetivo
Mediante el concepto de derivada se debe llegar a reconocer y aplicar correctamente las reglas de la derivación implícita, derivadas de las funciones trigonométricas y en general todas las derivadas de orden superior de una función.
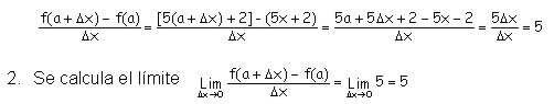
La definición más común hace referencia a que la derivada es el límite del cociente entre el incremento de una función y el de la variable cuando este último tiende a cero.
3.1.3 Definición geométrica
de la derivada 








Ejemplo:

3.1.4.1 Otras derivadas de gran
importancia son:

Ejemplo:


Ejemplo:

3.1.5 Propiedades de las derivadas

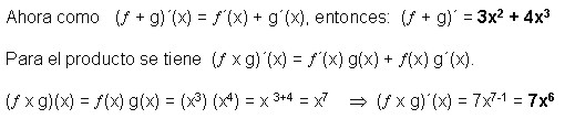
3.1.5.1 Derivada de una suma: si se tiene dos funciones f y g derivables las dos en x, la función suma es derivable también en x, y se verifica la suma como:
![]()
3.1.5.2 Derivada de un producto:

si f y g son dos funciones derivables en x, entonces la función producto es derivable también en x, y se verifica el producto como:

Ejemplo:


3.1.5.3 Derivada de un múltiplo
constante: 
si f es una función que se puede derivar y c un número que pertenece al conjunto de los números reales, se comprueba que:

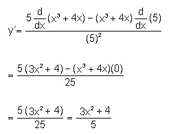
3.1.5.4 Derivada de un cociente

La derivada de un cociente se expresa como:

Donde f es una función y c un número perteneciente al dominio de la función de tal manera que:
![]()


Hagamos precisión en que no necesariamente todos los cocientes planteados se resuelven a través de la fórmula general.
También se pueden desarrollar como productos de una constante por una función de x, y se aplicaría la regla vista anteriormente para la derivada de un múltiplo constante que para el caso sería más práctica.
Veamos un ejemplo:

transformaremos esta expresión en un producto de una constante por una función.


3.1.6 Derivada de las principales
funciones trigonométricas 
Las derivadas de las funciones trigonométricas vienen dadas por:

Para demostrar cada una de las derivadas anteriores, se parte de la regla general de la derivada:


Las demás derivadas trigonométricas las aplicaremos en la medida que se desarrollen varios ejemplos.
Ejemplo:

Ejemplo:



Ejemplo:


Teniendo como base los anteriores ejemplos, demostrar las derivadas trigonométricas para la Ctg, Sec y Csc respectivamente.
Resumiendo todas las propiedades generales de la derivación, se tiene:
partiendo de la premisa de que s y t sean dos funciones derivadas en x:

Derivadas de las funciones trigonométricas:


Apliquemos la anterior fórmula a través de un ejemplo:

Y aplicando la regla de la cadena:

3.1.9 Derivada de una función
implícita

Para realizar dicho procedimiento se recomienda utilizar los siguientes pasos:

Ejemplo:



3.1.10 Propiedad general de
las potencias 
Ampliemos un poco el concepto de la derivada de una potencia que está enunciada por las fórmulas:
![]()

Que de una forma mas abreviada:


3.1.11 Derivadas
de orden superior

Ejemplo:

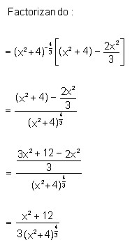
3.1.11.1 Derivada de funciones
con exponente fraccionario


Ejemplo:


Las razones relacionadas son las variaciones que se producen en dos o más variables en la unidad de tiempo. Son aplicables a los problemas básicos vistos en física, como son los de caída libre, movimiento rectilíneo, etc.
También los estudiados en el área de geometría como que tienen que ver con las figuras geométricas y sus medidas de longitud, capacidad o volumen.
Veamos un ejemplo:
Un objeto se deja caer sobre una piscina con el agua en reposo, al caer produce ondas circulares. El radio (r) de la onda exterior crece al ritmo constante de 2 mts por segundo. Cuando el radio es de 6 mts, ¿con qué período está creciendo el área total de la zona donde se están creando las ondas?


El desarrollo del ejemplo anterior se puede resumir en los siguientes pasos:
1. Se asignan símbolos a las variables dadas y a las variables por determinar.
2. Escribir la ecuación que involucra todas las variables, es decir las dadas y las por determinar.
3. Utilizando la regla de la cadena se deriva implícitamente los dos miembros de la ecuación respecto del tiempo t.
4. En la ecuación resultante, se sustituyen todos los valores de las variables conocidas con sus razones de cambio.
3.1.13 Aplicaciones de la derivada

3.1.13.1 Máximos y mínimos
Los máximos y mínimos son los mayores o menores valores que alcanza una función en un intervalo dado. También reciben el nombre de valores extremos de la función.


De los anteriores conceptos, se desprende el teorema del valor extremo que se refiere a que si f es contínua en el intervalo cerrado, entonces la función tiene máximo y mínimo en el intervalo.
En la gráfica de una función, un máximo se pude perder en el momento que el intervalo cambie. Es decir, si en lugar de que el intervalo sea cerrado es abierto. Veamos la siguiente gráfica:

De la gráfica se pueden definir
los conceptos de extremos relativos:
1. Si existe un intervalo abierto en el que f(c) tiene un máximo, entonces f(c) se llama máximo relativo de la función.
2. Si existe un intervalo abierto en el que f(c) tiene un mínimo, entonces f(c) se llama mínimo relativo de la función.
3. Los extremos relativos solo se presentan en los números críticos.
En una función definida en cualquier número real c, se pueden reconocer puntos críticos de la función cuando ¦(c) = 0, o si la función no está definida en c. Expresado de otra manera se tiene que si la función tiene un extremo relativo en el punto x = c, entonces c será un número crítico de la función.
Ejemplo:


Resumiendo los valores obtenidos, se tiene:

La gráfica correspondiente es:

El procedimiento que se ha seguido para hallar los extremos en un intervalo cerrado se puede resumir en los siguientes pasos:
1. Se deriva la función dada para hallar los números críticos.
2. Se evalúa la función en cada número crítico que tenga en (a, b).
3. Se evalúa la función en los puntos a y b.
4. El menor de tales valores es el Mínimo; y el mayor es el Máximo.
3.1.13.2 Funciones crecientes
y decrecientes 
Durante el estudio de la derivada hemos visto que se pueden hallar los puntos máximos y mínimos de una función. También es posible analizar cuando la función es creciente o decreciente.
Sea la figura:



Ejemplos:


3.1.13.3 Problemas de Máximos
y Mínimos
De las aplicaciones más importantes del cálculo es la de máximos y mínimos en la solución de problemas, que en cursos anteriores se resolvían por ejemplo, mediante ecuaciones simultáneas.
Veamos algunos ejemplos de aplicación:
1. ¿Cuáles serán las máximas dimensiones de una caja abierta con base cuadrada, que se podrá construir con 12 metros cuadrados de material?
Ahora, como se trata de maximizar el volumen, entonces lo expresamos en función de una sola variable. Para realizar esto se despeja h de la ecuación de área total en términos de x, con lo que se obtiene:

El valor de la variable x, produce el máximo volumen y debe ser un valor no negativo. También se sabe que el área de la base es máxima igual a 12, es decir:

Luego las dimensiones de la caja
serán 
Establezcamos un procedimiento general para el desarrollo de los problemas de máximos y mínimos:
1. Se asignan símbolos a todas las cantidades involucradas en el problema. Las enunciadas y las variables a determinar.
2. Se elabora una gráfica del problema en la medida que sea posible.
3. Escribimos una primera ecuación que involucre la magnitud que se ha de hacer máxima o mínima.
4. Reducimos la primera ecuación a otra que tenga una sola variable independiente. Este proceso se desarrolla mediante el uso de una segunda o tercera ecuación que relacionen las variables independientes de la primera ecuación.
5. Se halla el valor máximo o mínimo comparando los valores de la función en sus extremos relativos con los valores en los puntos terminales del intervalo cerrado.
Dos torres de 15 y 30 metros de altura respectivamente, están separadas por una distancia de 40 metros entre sí. Se quiere unir las dos torres por medio de un cable con la particularidad de que esté fijado al piso entre las puntas de las torres. ¿En qué punto del piso se debe fijar el cable para utilizar la mínima cantidad de cable posible?
1. Designemos S como la longitud del cable.
2. Elaboremos la gráfica del problema:

3. Escribimos una primera ecuación que involucre la magnitud que se ha de hacer mínima.
S = p + r 4.
Despejamos el valor de p y de r en función de una sola variable x:
Utilizando el teorema de Pitágoras se tiene

![]()


Se concluye entonces que el cable debe fijarse a 13,33 metros de la torre de 15 metros.