UNIDAD 3
3. Movimiento armónico simple
Este tipo de movimiento se caracteriza por ser periódico.






3.4.1. Onda
Es la propagación de una alteración o perturbación a través de un medio elástico, las ondas se caracterizan primordialmente porque transportan energía sin necesidad de transportar masa, por ejemplo la onda explosiva de una bomba, el sonido o la luz.
Aunque el termino de onda no presenta mayor complejidad si tiene un sin número de cualidades y aplicaciones que comenzaremos explicando, haciendo una clasificación de estas. Las ondas se han clasificado teniendo en cuenta cuatro factores que son:
Medio de propagación.
Dirección de propagación.
Numero de vibraciones.
Dimensión de propagación.
De acuerdo al medio de propagación las ondas se clasifican en.
Ondas mecánicas: Cuando se propagan en un medio elástico ( aire, agua, cuerda, lazo) por medio del cual pueda vibrar como sucede con ser el sonido.
Ondas electromagnéticas: Cuando no requieren ningún tipo de medio para desplazarse como la luz o las ondas de radio De acuerdo a la dirección de propagación las ondas son clasificadas en.
Ondas longitudinales: Las partículas del medio vibran paralelamente a la dirección en que se propaga la onda.
Ondas transversales: Las partículas del medio vibran perpendicularmente a la dirección de propagación.

De acuerdo al número de oscilaciones se clasifican en:
Pulso: Sucede cuando un medio es perturbado momentáneamente.
Periódica: Sucede cuando el medio es perturbado continuamente.
De acuerdo a la dimensión de propagación se clasifican por el número de dimensiones en que se propague sin importar cuales sean.
Unidimensional: en una dimensión.
Bidimensional : en dos dimensiones.
Tridimensionales: en tres dimensiones.
3.4.1.1.Características de
las ondas

de acuerdo a la Anterior gráfica definiremos sus principales características:
Cresta: puntos superiores de la onda.
Valles : puntos inferiores de la onda Nivel de referencia (línea central R ).
Nodos: son los puntos de intersección de la onda con el nivel de referencia.
Elongación (x): es la distancia que hay entre cada punto de la onda y el nivel de referencia.
Amplitud (A): es la máxima elongación posible (distancia entre una cresta o un valle al punto de referencia).

Periodo (T): tiempo que tarda en completar una oscilación (tiempo que tarda una partícula en recorrer una longitud de onda).
Frecuencia: es el número de oscilaciones por unidad de tiempo.
Dirección de propagación : es la dirección en que se dirige la onda se toma positivo el que indica la gráfica.
Reflexión
Este fenómeno ocurre cuando un frente de ondas choca contra un obstáculo y cambia de dirección. En la gráfica, en el extremo izquierdo, incide una onda sobre una pared con un ángulo q de incidencia, (el cual se mide desde la perpendicular normal levantada sobre la pared y punto de caída de la onda,) luego del choque la onda es reflejada hacia la derecha con un ángulo de reflexión igual al de incidencia lo anterior se conoce con el nombre de ley de reflexión: ( ángulo incidencia = ángulo reflejado)

En este caso las ondas cambian de un medio a otro, lo que trae como consecuencia que la velocidad varíe y su frecuencia permanecerá igual, consideremos el hecho que una onda producida en el aire pasa al agua, en este caso la onda pasa de un medio menos denso a otro más denso trayendo como consecuencia que la longitud de onda disminuye, para encontrar una expresión para la refracción se considera que una onda incide sobre una superficie de tal manera que parte de la onda se refleja y otra parte se refracta como se indica en la gráfica.

Este fenómeno que ocurre cuando una onda al encontrar un obstáculo lo bordea, continuando su desplazamiento pero presenta una deformación en la onda, esto también es evidente cuando las ondas atraviesan un orificio con la característica que la onda es difractada cambiando su curvatura como se observa en las siguientes figuras.

Cuando en un punto del espacio inciden dos o mas ondas se crea una onda la cual tiene una amplitud igual a la suma o resta de las amplitudes de las ondas incidentes
( se suman cuando las onda están en fase y se restan cuando están desplazadas)

En los puntos se crea el fenómeno de interferencia.
Este fenómeno ocurre únicamente en ondas transversales y consiste en hacer vibrar una onda que inicialmente se propaga en varios planos para vibrar en un solo plano, como se observa en la figura.

El polarizador puede ser el lente de unas gafas para el sol o un vidrio oscuro para carros.
Principio de Huygens Asegura que todo punto de un frente de onda se puede convertir en fuente de una nueva onda. Para demostrar este hecho Huygens ubico una barrera con un orificio en el camino de un frente de ondas de tal manera en este orificio se crea un nuevo frente de onda.

El sonido es el transporte de energía en forma de onda longitudinal la cual es producida por las vibraciones generadas por un movimiento periódico sobre una sustancia. Con lo anterior se deduce que el sonido necesita un medio elástico por el cual se pueda desplazar, puede ser liquido, sólido o gaseoso (el sonido no se propaga en el vacío) y aunque suene raro el sonido se desplaza con mayor velocidad en sólidos que en líquidos y con mayor velocidad en líquidos que en gases, esto se debe al módulo de compresivilidad del medio el cual es mayor en sólidos
La siguiente tabla muestra la velocidad del sonido en diferentes medios.

Como podemos observar se incluye la temperatura del medio pues la velocidad del sonido varia en el aire en función de la temperatura como sigue.

En donde 331,7 m/s es la velocidad del sonido a cero grados centígrados que una constante y T es la temperatura y la cual se desea calcular la velocidad.
Ejemplo.
Calcular la velocidad del sonido en el aire a las 12 del día cuya temperatura es de 21° C.
De acuerdo a la expresión anterior se tiene que el único remplazo es el de la temperatura T por 21°C

Se conocen como cualidades del sonido a las características que permiten a un receptor distinguir diferentes sonidos. Estas son: Intensidad, tono y timbre.
La intensidad nos permite diferenciar entre sonidos fuertes y sonidos débiles, también nos da una idea de que tan lejos se encuentra la fuente que emite el sonido
Hablando en términos físicos la intensidad es la medida de la energía que transportada la onda sobre el área de acción durante un tiempo t, de acuerdo a lo anterior se tiene que la intensidad I es igual a:



en donde se puede deducir que la intensidad varia inversamente al cuadrado del radio


Nivel de intensidad Como se dijo anteriormente, la intensidad es una magnitud, la cual se puede medir, pero la escala en donde se encuentran ubicados los valores de intensidad de los sonidos es demasiado extensa, por tal razón se ha utilizado una escala en logaritmos. Tal nivel de intensidad se define de acuerdo a la siguiente expresión:

El rango de decibeles que puede captar el oído humano se encuentra entre los 20 db a 120 db. Antes de este rango no se puede escuchar sonido alguno y después de este rango se pueden escuchar pero es peligroso para el oído.
Esta cualidad nos permite distinguir entre sonidos de alta frecuencia que reciben el nombre de agudos y sonidos de baja frecuencia o graves.

Gracias al tono se puede dar una medida a cualquier sonido por ejemplo se puede clasificar la voz humana de acuerdo a la frecuencia que emite.
Esta cualidad permite distinguir dos o mas sonidos que tengan igual intensidad y tono, considere el hecho en el cual se hace sonar una misma nota musical por diferentes instrumentos de tal manera que todos se an generados con la misma intensidad, a pesar de todo esto se puede distinguir el sonido producido por una guitarra y un violín o entre una flauta y un clarinete. Esta cualidad también la posee la voz humana pues a pesar que algunas voces se parecen el timbre permite distinguir quien esta produciendo un determinado sonido.
3.5.2. Fenomenos ondulatorios
en ondas sonoras 
Reflexión.
Ocurre cuando una onda sonora choca contra un elemento y cambia de dirección, lo que se puede comprobar al emitir un sonido en una habitación vacía, se escuchara una repetición del sonido la cual es la onda reflejada esto se conoce con el nombre de eco.
Ocurre cuando la onda sonora cambia de un medio a otro produciendo un cambio en la velocidad de propagación de la onda, un ejemplo de esto es cuando una onda sonora penetra en el agua de una piscina o se escucha la música al otro extremo de una ventana.
Esto ocurre cuando la onda sonora rodea un obstáculo que se encuentre en su desplazamiento y continua su propagación, también ocurre el fenómeno de difracción cuando la onda sonora pasa por una pequeña abertura.
Esto ocurre cuando se escucha la música que emite un radio ubicado en el otro lado de una esquina Interferencia. Ocurre cuando se encuentran dos o más ondas sonoras coherentes (igual fuente) en el espacio de tal manera que de acuerdo a las características de las ondas se suman sus amplitudes formando una onda de mayor amplitud (aumenta el sonido) o se restan disminuyendo su amplitud (sonido más bajo).
Este efecto explica el porque la frecuencia que emite un avión cambia cuando se acerca y cuando se aleja o cuando una persona se acerca a un radio, cambia la frecuencia que recibe la persona. De tal manera que el efecto Doppler se genera por el movimiento de la fuente sonora o del receptor del sonido, de uno con relación al otro, puesto que en cualquiera de los casos que consideremos a continuación las frecuencias percibidas por el receptor son diferentes a las que emite la fuente.
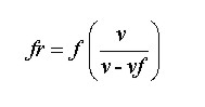
En el caso cuando la fuente esta quieta y el observador se acerca (cuando se acerca a un radio), las ondas sonoras se agrupan de tal manera que las longitudes de onda se acortan produciendo un tono de mayor frecuencia. La frecuencia recibida por el receptor es igual a la que emite la fuente más la variación de frecuencia.

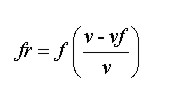
En el caso en que la fuente está quieta y el receptor se aleja, las ondas sonoras se retiran de tal manera que su longitudes de onda aumenta produciendo un tono de menor frecuencia. En este caso, la expresión para calcular la frecuencia recibida, es:

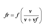
En el caso en que el observador esta quieto y la fuente sonora se acerca, las ondas sonoras se amontonan unas con otras reduciendo la longitud de onda lo que trae como consecuencia que la frecuencia aumente, de tal manera que la expresión en este caso se convierte en.

En el caso en que el observador esta quieto y la fuente sonora se aleja, la ondas sonoras se alargan unas con otras, aumentando la longitud de onda lo que trae como consecuencia que la frecuencia sea menor, de tal manera que la expresión en este caso se convierte en:

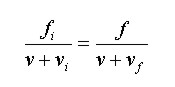
Como podemos observar los casos pueden ser muy variados. No hemos considerada aun el caso cuando la fuente y el receptor se alejan o acercan. Por tal razón se definirá una expresión general.

Que se aplico a cualquier caso. Lo único que se debe tener en cuenta es el sentido de los factores vf y vi . Como referencia se toma positivo el sentido en que el observador se acerque a la fuerte. Así, que vf o vi son negativos si los observadores se desplazan en sentidos opuestos.
Cuando se escucha una sinfónica interpretando una partitura se puede apreciar una mezcla de sonidos agradables para el oído, pero esto no puede ser completamente cierto pues físicamente los instrumentos que intervienen no producen sonidos puros ya que tale sonidos son mezclas de armónicos. Para entender mejor este fenómeno se deben estudiar las frecuencias producidas por cuerdas y tubos.
Cuando se aplica un halón o perturbación mecánica sobre una cuerda, esta vibra produciendo un sonido generado por las ondas estacionarias de incidencia y reflexión que se encuentran en la cuerda, como es obvio la onda tiene que estar sujeta en sus puntos extremos llamados nodos. Consideremos las siguientes.


Así, la frecuencia para el primer armónico o fundamental es:


Que es el doble del fundamental.

Que corresponde al triplo de la fundamental. De igual manera se calcula la frecuencia para los demás armónicos. Si se denota con n el número de armónico, la expresión general para el correspondiente armónico es:

![]()
Generalmente llamados instrumentos de viento puesto que se produce un sonido cuando se hace vibrar la columna de aire por acción de un soplido o vibrando una cañuela, al igual que se puede producir ondas estacionarias en cuerdas, se producen en tubos. Esto es utilizado en la construcción de instrumentos musicales que, a su vez se pueden dividen en dos clases:
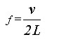
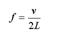
1. Tubos abiertos en sus dos extremos:
Para los tubos abiertos en sus dos extremos se forma un vientre en dichos extremos, esto para la primera frecuencia, de tal manera que L es la longitud del tubo y l es la longitud de onda.


La frecuencia para el primer armónico será:

Y utilizando la gráfica se deducen las frecuencias de los demás armónicos que se forman. Estos son:
Para el segundo armónico:

2. tubos cerrados en un extremo

