Unidad 4

Calor y temperatura

 

4.1 Calor

Es una manifestación de energía, que se hace evidente cuando existe un intercambio de temperatura entre dos o más cuerpos. Este intercambio o transferencia se puede realizar en tres formas, por:

- Conducción

- Convección

- Radiación

 

4.1.1 Conducción

Ocurre cuando las partículas de los cuerpos, por lo general sólidos, chocan entre sí (un ejemplo, el frotar las manos).


4.1.2 Convección

Ocurre cuando la diferencia de densidad y temperaturas, crea un movimiento de fluidos.


4.1.3 Radiación

Ocurre cuando el calor se transmite en forma de onda electromagnética como sucede con la energía que emite el sol.


4.1.4 Unidades de calor

4.1.4.1 Caloría

Es la cantidad de calor que se aplica a 1 g de agua para llevarla de una temperatura de 14.5°C hasta 15.5°C.

4.1.4.2 Kilocaloría

La kilocaloría (Kcal) que corresponde a 1.000 calorías.

4.1.4.3 B.T.U.

La B.T.U.(British Thermal Unit) unidad del sistema inglés, igual al calor aplicado para llevar una libra de agua desde 63 °F hasta 64°F. Todas estas unidades se relacionan de la siguiente manera: 4.186 joules = 3.99 Btu = 1 Kcal = 1.000 cal


 

4.2 Temperatura

La temperatura se conoce como la cantidad de calor que puede tener un cuerpo, si posee un alto nivel de calor se dice que es caliente y si posee un bajo nivel de calor se dice que está frío, esto es percibido normalmente por el sentido del tacto, tal sensación no siempre es acertada, pues cuando se saca del congelador una cubeta de plástico y una de aluminio, ésta última da la sensación que esta más fría, lo cual es falso porque la temperatura del congelador, es igual; y tal sensación es causada porque el aluminio presenta menos resistencia al paso de calor.


4.2.1 Escalas de temperatura

Escalas de temperatura más utilizadas

 

Para cualificar la temperatura, el hombre ha creado y perfeccionado los termómetros, los cuales se fundamentan en el hecho que cuando son puestos en contacto con un determinado sistema, éstos entran en equilibrio térmico logrando así que tanto el sistema como el termómetro tomen la misma temperatura. Existen termómetros de:

El más utilizado es el de mercurio, en el bulbo se encuentra el líquido (mercurio), que se dilata fácilmente, se continúa con un tubo capilar cerrado hasta la parte superior. A lo largo del capilar va una escala graduada generalmente en grados centígrados y décimas de los mismos. Los termómetros de mercurio sirven para marcar temperaturas comprendidas entre los cero y 100 grados centígrados.

Pero como es evidente, la temperatura es utilizada en diferentes campos y su aplicación se encuentra en la variedad de escalas que se utilizan de acuerdo con le trabajo que se desea realizar.

 

4.2.1.1 Escala Centígrada o Celcius (0C)

Es la más utilizada puesto que presenta una escala de graduación de fácil manejo. En esta escala, se toma el punto de solidificación o fusión (congelación) del agua, en cero grados centígrados 0°C, y cien grados centígrados 100°C como punto de ebullición (evaporación), a una atmósfera de presión. El espacio entre estos valores se divide en 100 partes iguales, de las cuales cada una de las divisiones corresponde a un grado centígrado (10C), los espacios por encima de 100 o por debajo de cero se encuentran divididos en unidades de igual valor.

4.2.1.2 Escala Fahrenheit (0F)

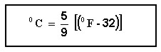
En esta escala el punto de solidificación (fusión) del agua es de 32 grados (°F) y el punto de ebullición se encuentra en 212 grados (°F); el espacio entre estos valores se divide en 180 partes, en donde cada una de las partes corresponde a un grado Fahrenheit (1°F). El punto de fusión se obtuvo mezclando agua, sal y cloruro de amoniaco y el de ebullición midiendo la temperatura del cuerpo humano. Al relacionar las dos escalas Centígrada o Celsius y Fahrenheit se puede observar, que el espacio comprendido entre el punto de fusión y ebullición del agua se encuentra divido en 100 intervalos para la escala Centígrada y en 180 para pedir la escala Fahrenheit. Luego, 100 intervalos Centígrados equivalen a 180 intervalos Fahrenheit. De donde:

1000C = 1800F

Además el punto de fusión (congelación) del agua es cero grados 0°C, en la escala Centígrada y 32°F. Entonces:

0° = 320F

4.2.1.3 Escala de Kelvin

Esta escala toma el punto triple del agua como referencia, en este punto se encuentra en equilibrio el vapor de agua, el agua líquida y el agua congelada. El punto triple se logra, cuando se aplica una presión de 4.58 mm de Hg (mercurio) y se alcanza una temperatura absoluta (T) de 273° K, esta temperatura es tomada como punto de origen para la medida.

0°C = 273°K

En la escala Kelvin, el punto de solidificación del agua se le asigna un valor de 273°K y al de ebullición 373°K; es de fácil deducción que, son 100 los intervalos que los separan y que cada uno corresponde a 1°K. Las escalas Kelvin y Celsius se diferencian solamente en la elección del punto cero. El cero en la escala absoluta de Kelvin equivale a -273°C. 0°K = - 273°C

Temperatura Kelvin = 273 + Temperatura Celsius

Ejemplos:

 

Para convertir grados Kelvin a Fahrenheit o viceversa, de acuerdo con el caso, se deben pasar los grados (Kelvin o Fahrenheit) a grados Celsius, y luego, si se pasan a la escala solicitada.

2. Pasar 20°C a grados Kelvin.

Solución

4.2.1.4 Escala Rankine °R. En la escala Rankine, el valor del intervalo del grado es el mismo que el intervalo en la Fahrenheit, pero el punto cero corresponde a 0°K ó -273°C. Comparando las escalas Kelvin o del cero absoluto, con la escala Fahrenheit, se obtiene el cero absoluto para la escala Rankine.

 

Las escalas Rankine y Kelvin tienen el mismo cero, por esto es muy fácil relacionarlas.

4.2.2 Conversión de escalas

Ejemplos:

- Convertir a grados Celsius 72°F. Solución

-Se busca la fórmula de conversión que contenga la incógnita.

 

- Convertir a grados Fahrenheit 190°C. Solución

- Se busca la fórmula que contiene la incógnita, en este caso especial corresponde a los grados Fahrenheit.

- Se procede a realizar el reemplazo de los datos que proporciona el enunciado del problema.