Unidad 2

 

Cómo medimos en Química

 

2.1 Unidades de medidas

La química se encarga de estudiar la materia y sus propiedades, tanto cualitativas como cuantitativas y como estos estudios son de interés universal se hace necesario unificar criterios de medida, con el fin de obtener un mismo lenguaje que sea utilizado por todos los científicos que se interesen por el campo de la ciencia. Para lograr esta universalidad se hace necesario la utilización de patrones de medida tales como:

a) Sistema métrico.

b) Sistema internacional de medidas, S.I.

 

2.2 Medir

Consiste en comparar una magnitud o propiedad de los cuerpos con otra, que toma como patrón. La medida consta de dos partes:

· Número o cantidad.

· Unidad o patrón.

 

Número o cantidad: Indica las veces que se repite la unidad o patrón. Unidad o patrón: Indica el tipo de magnitud que se utiliza como patrón. Todo lo que se puede medir se le denomina magnitudes físicas.

2.3 Magnitudes Pueden ser: fundamentales y derivadas.

2.3.1 Magnitudes fundamentales: Son las que se expresan por sí mismas como: longitud, masa, tiempo, temperatura.

2.3.2 Magnitudes derivadas: Son producto de las unidades fundamentales, ejemplo, la densidad es el producto de relacionar la masa y el volumen.

Ejemplo:

 

Velocidad: relaciona la longitud y el tiempo, sus unidades son metro sobre segundo.

2.3.3 Magnitudes químicas

 

2.4 Sistemas de medidas

Para comparar las magnitudes se han creado el:

· Sistema Inglés.

· Sistema Internacional.

Los dos sistemas están vigilados por la conferencia de pesos y medidas, que en1960 modificó el sistema métrico y creó el sistema internacional de medición.

 

2.4.1 Sistema internacional

En este sistema encontramos siete medidas fundamentales o básicas.

2.4.2 Normas para emplear el sistema internacional

 

2.4.3 Múltiplos del sistema internacional

2.4.3.1 Metro Es la unidad básica de longitud.

En el sistema internacional empleamos cantidades o cifras de potencia 10.

Ejemplo:

2.4.3.2 Kilogramo

 

2.4.4 Problemas resueltos sobre múltiplos del sistema internacional

a) Convertir 5,5 kilogramos en gramos.

 

b) Convertir 325 centímetros a metros. Solución:

1 metro equivale a 100 metros.

 

c) Convertir 35 centímetros a milímetros. Solución:

1 cm equivale a 10 milímetros.

 

d) Convertir 12 microgramos a gramos. Solución:

 

2.5 Notación científica o exponencial

 

Es utilizada en química para manejar cantidades extremadamente pequeñas o por el contrario muy grandes y poder escribirlas con mayor facilidad.

Ejemplos de aplicación:

a) Escribir 1.500 en notación científica. Se puede escribir como:

b) Escribir 23.500 en notación científica.

En los ejemplos anteriores, se observan los componentes de una notación científica:

 

Así como existen potencias positivas también las hay negativas.

c) Escribir 0,000008 en notación científica. Solución:

Se deben seguir los siguientes pasos: Correr la coma seis lugares, de izquierda a derecha, hasta conseguir un número entre 1 y 10.

La potencia se considera negativa, pues se está convirtiendo un número decimal en un entero, o lo que es igual, un submúltiplo en un múltiplo.

d) Escribir 0,00036 en notación científica. Solución:

Correr la coma, de izquierda a los lugares necesarios, para obtener un número entre 1 y 10.


2.5.1 Operaciones con exponentes

2.5.1.1 Suma o resta: para sumar o restar, se debe tener el mismo exponente en la base 10. Ejemplo:

 

2.5.1.2 Multiplicación

Para multiplicar, se deben sumar algebraicamente los exponentes en base 10.

Ejemplos:

 

Primero se multiplican los números enteros y luego se suman algebraicamente los exponentes en base 10.

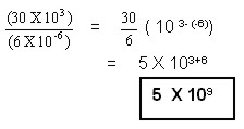
2.5.1.3 División

Para dividir, primero se dividen los números enteros y luego, se deben restar algebraicamente los exponentes en base 10. Ejemplos: