1.1 Funciones circulares
1.1.1 Objetivos
Utilizar la circunferencia unitaria (de radio = 1) para definir de forma correcta las funciones circulares.
Diferenciar en un plano cartesiano los signos de cada uno de los cuadrantes, y ubicar las funciones circulares en ellos con sus respectivos signos.
Afianzar los conocimientos relacionados con las equivalencias de los sistemas de medidas angulares.
1.1.2 Conceptos generales
1.1.2.1 Ángulo: Un ángulo es la abertura comprendida entre dos segmentos, uno llamado lado inicial y el otro lado terminal y que tienen un punto en común llamado vértice.
En el estudio de las funciones circulares el ángulo se considera en un sistema de coordenadas y se define en términos de un giro, es decir de una rotación.
1.1.2.2 Medición de ángulos: para el estudio de las funciones circulares, un ángulo además de medirse en los sistemas sexagesimal y centesimal se mide en el sistema de medida circular.
Lo anterior se puede enunciar de la siguiente manera:
Un ángulo mide un radian cuando la longitud del arco (s) es igual al radio de la circunferencia que se describe.
De los anteriores conceptos se puede definir radian como la medida del ángulo de vértice en el centro de la circunferencia de longitud igual al radio de la misma.
1.2 Función coordenada
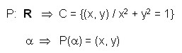
De lo anterior nos podemos dar cuenta que a cada punto de la circunferencia unitaria se le puede asignar un número real. Y nos sugiere también que debe existir una función que cumpla el mismo propósito. Esta función es la que recibe el nombre de función coordenada, y se denota por la letra P.
Genéricamente se tiene:
Graficamente:
De la gráfica se deduce que:
1.3 Funciones seno, coseno y tangente
Ejemplos:
1.4 Signos de las funciones circulares
Teniendo como base la figura y sabiendo que los ejes de coordenadas en un plano cartesiano dividen al plano en cuatro semiplanos. Cada uno de los semiplanos recibe el nombre de cuadrante.
Analizando los valores que toman las variables (x, y) en cada uno de los cuadrantes, y relacionándolos con las funciones circulares, se puede concluir:
Las demás funciones circulares se definen con base y de igual manera que las anteriores, utilizando la circunferencia unitaria. Estas funciones son:
1.6 Uso de la calculadora
Es de gran importancia utilizar la calculadora para hallar valores de funciones circulares que desarrolladas por los métodos vistos sería algo difícil.
Ejemplos:
1. Hallar el valor de Sen 0,32. Se debe trabajar con la calculadora en la función radianes (RAD).
2. Hallar el valor de Sec. 1,37
Se procede de la siguiente manera:
Ejemplos:
Hallar el valor de seno (-3)
Realizando la gráfica correspondiente:
1.8 Gráficas de las funciones circulares
El procedimiento para realizar las gráficas de las funciones circulares es similar al procedimiento utilizado para trazar la gráfica de cualquier función, es decir se tabula varios puntos en una tabla de valores y se localizan en el plano cartesiano, luego se unen dichos puntos para generar la gráfica correspondiente.

+