5.5 Momento de una fuerza o torque

Para considerar que un cuerpo se encuentra totalmente en equilibrio, no solo se debe considerar las fuerzas que permiten que se desplace, sino aquellas que hacen que tal cuerpo gire.

Como puede ser el hecho de que una persona se suba sobre una cicla es difícil que se mantenga en equilibrio si esta quieta. Pues esta trata de girar hacia los lados esto se debe a que aparece un torque o momento de fuerza.

Para entender este hecho imaginemos una barra la cual puede girar alrededor de un punto llamado generalmente pivote, como se ve en la gráfica 5.23, la viga se sostiene por la acción de una fuerza a una distancia X, desde el pivote.

 

Éste tiene unidades de fuerza por distancia (N m o dn cm)

Al producto de la fuerza F, por distancia X, por seno de teta, donde este ángulo es el que forma la fuerza con la distancia.


5.5.1. Torque máximo

Para el caso, en que el ángulo sea de 90°, el torque es máximo porque sen 90° = 1, y en el producto toma su máximo valor.

Existen otras condiciones que se deben tener en cuenta para el cálculo de torques o momentos como pueden ser:

El sentido Se considera que un torque es positivo cuando la fuerza que produce el giro, actúa en sentido contrario a las manecillas del reloj, y se considera negativo cuando la fuerza que produce el giro, actúa en sentido de las manecillas del reloj.

 

Pivote

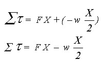
El valor del torque depende del punto de apoyo de giro, entre mayor sea la distancia entre pivote y fuerza aplicada, mayor será el valor del torque, de igual manera, entre menor sea está distancia menor será el torque. Cuando está distancia es cero, el torque es igual a cero pues:

Cuando se tienen varios torques que actúen sobre un cuerpo, y se desea calcular su condición de equilibrio, se debe tener en cuenta que el torque final sobre un cuerpo no tiene que generar movimiento, luego, la sumatoria de torques que actúan sobre éste, tienen que ser igual a cero.

 

Ahora, que se tiene un poco más clara la idea de torque, analicemos el ejemplo inicial, en donde tenemos que analizar la fuerza del peso, la cual produce un torque negativo, pues hace girar la barra en sentido de las manecillas del reloj. Primero calculamos los torques que producen cada fuerza:

 

El torque que produce F es:

Y el torque que produce el peso w es:

Como punto de aplicación del peso para todo cuerpo, se considera el centro de masa que para la barra es la mitad geométrica de está

 

Luego el torque final será igual a:

Y de acuerdo a la expresión 5.14 en donde:

Se obtiene.

Resultado que indica, que para sostener la barra de acuerdo a las condiciones planteadas, se debe hacer una fuerza igual a la mitad del peso.


5.5.2. Equilibrio total

Ejemplo:

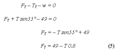
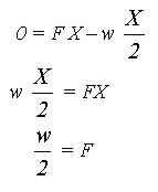
Una viga de hierro de 5 kg (49 N) y 0,9 m de longitud, la cual puede girar sobre el punto R, un lazo sostiene el otro extremo el cual forma un ángulo de 55°. Calcular la tensión del lazo y la fuerza que ejerce el pivote ( R) sobre la viga.

Al aplicar las condiciones de equilibrio se tiene

Ahora en 1 :

En 2.

Y en 3.

Y

 

5.6. Aplicación de la segunda ley de Newton.

Parte de la mecánica, que se encarga de estudiar los factores causantes del movimiento. Es aquí, en donde entra a actuar la segunda ley de Newton, pues debido a que existe movimiento la sumatoria de fuerzas que se aplican en un cuerpo es igual a una fuerza la cual es la que produce movimiento.

Luego aquí la sumatoria de fuerzas que actúan sobre un cuerpo que presenta movimiento, es igual a masa por aceleración

La expresión 5.15 es igualmente válida para cada uno de los ejes x y y en donde se obtiene:

Como es obvio, en nuestro diario vivir no solo encontramos objetos estáticos, pues la mayoría presentan movimiento como pueden ser el hecho en donde una persona hala por medio de una soga, un armario sobre un plano inclinado.

a) Realicemos un gráfico nombrando todas las fuerzas que actúan sobre la caja.

b) Apliquemos la expresión 5.15, para encontrar las expresiones de movimiento de la caja. Calcule la aceleración con que se mueve la caja.

 

Solución:

b) Ahora, se consideran las fuerzas que actúan sobre un único punto de ejecución y lo ubicaremos en un eje ordenado en donde podemos ver mejor las componentes que forma el peso.

Teniendo como base, la gráfica 5.27, se pueden aplicar la condición 5.15.

c) De la expresión 5.17, se despeja a:

Luego:

Remplazándola en la expresión anterior se tiene:

Consideremos algunas circunstancias de la presencia de movimiento en un cuerpo, en las cuales analizaremos sus gráficas y deduciremos las expresiones matemáticas para cada caso.

 

1) Se aplica una tensión a un cuerpo de masa m, el cual se mueve sobre una superficie áspera.

Análisis: La superficie áspera produce una fuerza de rozamiento.

La tensión, es la que produce el movimiento.

Todas las fuerzas que actúan sobre el cuerpo son:

Las expresiones para este tipo de movimiento:

N - W = 0

Pues no hay movimiento en esta dirección, y el signo menos del peso, es porque está en sentido opuesto a la normal:

N = W

y

T - fr = ma

El signo menos de la fuerza de rozamiento, es porque está en sentido opuesto a la tensión.

2) Se aplica una tensión a un cuerpo de masa m, el cual se mueve sobre una superficie áspera que forma un ángulo con la horizontal.

Las fuerzas que actúan sobre el cuerpo son.

Las expresiones para este tipo de movimiento:

3) Dos cuerpo, se encuentran unidos por una cuerda, un cuerpo esta cayendo halando al otro produciendo movimiento.

Las fuerzas que actúan sobre los cuerpos son:

 

La expresiones para cada cuerpo son:

Para el cuerpo que cae:

T - W2= ma

Y para el cuerpo que se desliza:

en el eje y N = W1

en el eje x T - fr = ma

 

5.7. Cantidad de movimiento

5.7.1. Impulso

Como impulso se conoce al intervalo de tiempo en que es aplicada una fuerza. Imagine que un karateca desea partir una tabla como lo imaginamos el golpe que él le dará, fuera de ser fuerte será rápido puesto que, si se demora demasiado tiempo tal golpe no será tan eficaz y se lastimará la mano.

Para encontrar una expresión para el impulso se parte de la definición de fuerza dada en la segunda ley de Newton en donde:

F = ma

Multiplicando cada miembro de la expresión anterior por el tiempo t, se tiene:

F t = m v

En donde el producto de la fuerza F por el tiempo t es conocido con el nombre de impulso I

I = F t (6.6)

En donde I es un vector el cual tiene la misma dirección de aplicación de la fuerza. Y tiene unidades de fuerza por unidades de tiempo (Nm, dn cm)

Pero el hecho de la aparición de un impulso se nota en la acción que produce y es la de generar una variación en la cantidad de movimiento que poseen los cuerpos. La cual se manifiesta en el miembro de la derecha de la expresión en donde mv es la cantidad de movimiento denotada por la letra ( P) luego

P = m v (6.7)

P es de carácter vectorial, con igual sentido y dirección que la velocidad y unidades de Kg m/s o g cm/s

relacionando las expresiones anteriores se deduce que

lo que demuestra que la variación de la cantidad de movimiento ( P ) se genera a partir de un Impulso



5.7.2 Conservación de la cantidad de movimiento

Este afirma que la cantidad de movimiento de los cuerpos permanece constante.

Esto quiere decir que la cantidad de movimiento inicial es igual a la cantidad de movimiento final

consideremos el hecho en que un patinador de masa m se dirige hacia de sur de un pista de hielo con velocidad v al encuentro con otro patinador de masa M que se dirige hacia el este con velocidad V, si el punto de encuentro es en el centro de la pista y continuar unidos

En este caso la cantidad de movimiento inicial es igual a la suma de la cantidades de movimiento de cada patinador y la cantidad de movimiento final es la adquirida en la unión de los dos patinadores. luego: Cantidad de movimiento iniciales la del primer patinador mas la del segundo patinador

mv + MV

aplicando el teorema se tiene

en este caso lo importante es el encontrar la velocidad final que es el dato que se desconoce, por lo cual se despeja de la expresión 6.10

 

la expresión (6.10) es valida para cuerpos que se mueven en la misma dimensión ( el caso donde los dos patinadores se desplazaran en la misma dirección, si el sentido fuera opuesto se agregaría el signo menos a uno de los términos, al que se considere que se mueve en sentido opuesto). Pero para nuestro ejemplo debemos hacer el análisis para dos dimensiones puesto que los patinadores se desplazan en diferentes dimensiones



5.7.3. Colisiones o choques

 

Este fenómeno es muy común en nuestra vida y no solo se refiere a choques automovilísticos sino también el de personas, objetos en el espacio como puede ser las bolas de billar para el estudio de esto se deben definir primero algunas clases de choques.

Choques inelásticos Se considera que un choque es perfectamente inelastico cuando después de la colisión los elementos permanecen unidos.

Estos son los choques que generan consecuencias porque se transforma energía en la colisión en forma de energía calórica, sonora otras forma de energía es la gastada en fracturas o lesiones a personas Choques elásticos Existe un choque perfectamente elástico cuando después del choque cada elemento que interviene en la colisión retrocede, este tipo de colisiones no es tan perjudicial porque la energía se conserva esto quiere decir que no hay transformaciones de energía.


5.8. Gravitación universal

Desde los inicios de la ciencia como tal el estudio de los astros ha despertado la curiosidad de los científicos. Y esto se hace evidente en la utilización que le dieron para crear calendarios y generar estrategias para cultivar en las antiguas culturas. Después en Grecia se dio un completo desarrollo sobre descripciones del espacio que llevaron a Tycho Brahe y Copernico al plantear muy buenos trabajos que se basaron en las observaciones hechas por ellos mismos. Hasta llegar a los trabajos de Johans Kepler el cual logro plantear tres leyes las cuales explican el movimiento planetario.


5.8.1. Leyes de Kepler
Primera ley de orbitas Las órbitas de los planetas describen una trayectoria elíptica y el sol se ubica en uno de los focos

Hasta antes de esta ley se consideraba que los planetas tenían órbitas circulares

 

Segunda ley de áreas El radio entre el sol y cualquier planeta recorre áreas iguales en tiempos iguales

 

La medida del área azul es igual a la medida del área amarilla y el tiempo y el tiempo que tarda el planeta en ir de a hasta b es igual al de ir de c hasta d lo que quiere decir que el planeta se mueve con mayor velocidad cuando está mas ceca al sol (perihelio)

 

Tercera ley de periodos El cociente entre el radio desde el sol hasta cualquier planeta elevado al cubo sobre el periodo de esté elevado al cuadrado es igual para cualquier planeta en un factor de 3,34x1018 m3 / s2

 

Ejemplo: Calcular la distancia entre el Sol y la Tierra, aplicando la tercer ley de Kekler. Solución.


5.8.2. Ley de gravitación universal

 

Incluyendo esta constantes tenemos

 

 

La cual tiene unidades de Newton N haciendo un análisis de las unidades se tiene que

F= N

Esta ley explica el por que los planetas se atraen unos con otros y el por que una piedra cae sobre la superficie terrestre, para los planetas uno con otro se atraen pero a su vez estos atraen a otros planetas formando así una cadena que permite que los planetas se puedan mantener en equilibrio, en el caso que un planeta faltare existiría un acomodamiento hasta lograr nuevamente el equilibrio.

Igual sucede para el hecho en donde una piedra caiga sobre la superficie terrestre pero como la masa de la tierra es demasiado grande comparada con la de la piedra (o cualquier otro objeto en la tierra) la tierra ejerce una fuerza de atracción mayor a la que pueda ejercer la piedra sobre la tierra y por tal razón la piedra es atraía (cae) hacia la tierra De igual manera la gravedad que ejerce la luna sobre la Tierra, se evidencia en la formación de mareas

Solución:

Se considera el hecho que una persona de masa m se encuentra sobre la superficie terrestre, de tal manera que la fuerza de gravedad que la Tierra ejerce sobre la persona en igual a:

Donde M es la masa de l Tierra y m la de la persona (mg es el peso de la persona, fuerza F)

Cancelamos m, y despejando M se calcula el valor de la masa de la Tierra.

En donde:

Luego: